Ana-Marija Nedić

Logo


Contact: amnedic AT umn DOT edu
Connect on LinkedIn
Codes repositories on GitHub
List of publications on Google Scholar

See also:
Research highlights
Resources for young researchers
Some fun reads

Research highlights

Soft finite-q acoustic phonons: why they matter and where to find them

Flexoelectricity (polarization induced by strain gradient) can manifest in the phonon spectrum of incipient ferroelectrics as a softening of the acoustic phonon branch at a small finite wave-vector. Guided by symmetry-allowed microscopic mechanisms that could contribute, we use DFT and DFPT to search for novel flexoelectrics. We also study how the presence of flexoelectricity affects superconductivity in material candidates.


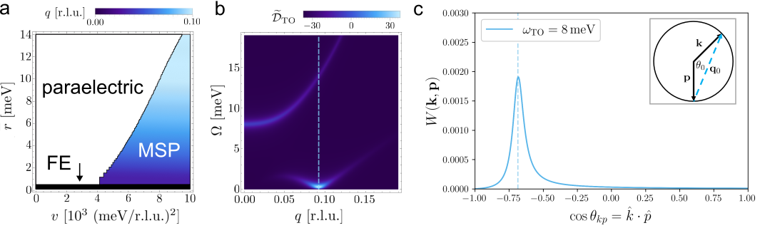
(a) Phase diagram of phonon instabilities in SrTiO₃ from a minimal DFT-inspired model of hybridized optical–acoustic phonons as a function of flexoelectric coupling v and zone-center energy of transverse optical phonons r; color shows the propagation vector. (b) Phonon spectrum in the regime of finite-q acoustic phonon softening; color indicates the phonon propagator projected onto the bare TO mode (as appears in RIXS). (c) Angle dependence of the unsymmetrized interaction on a 2D isotropic Fermi surface, peaking at the angle favored by the soft finite-q acoustic phonon wave-vector.

Approach to studying magnetically frustrated metals

Inspired by magnetic frustration in local-moment systems, we introduced a quantitative measure of itinerant frustration in metallic systems with competing magnetic interactions, and applied it to investigate the anomalous paramagnetic behavior of SrCo2As2.


(a) Bare susceptibility of a Hubbard model with Hund’s coupling, showing proximity to competing magnetic orders as a function of model parameters. (b) Dynamical susceptibility near competing magnetic orders (FM left, stripe-AFM right) that can be compared to experimental INS data.

AMN, M. H. Christensen, Y. Lee, B. Li, B. G. Ueland, R. M. Fernandes, R. J. McQueeney, L. Ke, P. P. Orth, Competing magnetic fluctuations and orders in a multiorbital model of doped SrCo2As2, Phys. Rev. B 108, 245149 (2023). (repository).

Lattice engineering for emergent three-state Potts nematic order

We showed how long-range nematic order of the Z3 Potts universality class can emerge from continuous models on stacked lattice designs and in the previously unexplored regime of materials with mixed ferro- and antiferromagnetic interactions. We further showed how quantum and thermal fluctuations can stabilize the Z3 phase within the purely bilinear Heisenberg model.


Ground state (left) and finite-temperature (right) phase diagrams on stacked lattices realizing three-state Potts nematic order.

AMN, V. L. Quito, Y. Sizyuk, P. P. Orth, Three-state Potts nematic order in stacked frustrated spin models with SO(3) symmetry, Phys. Rev. B 107, 184401 (2023).

Magnetic phase diagram of the topological insulator MnBi2Te4

In the experimentally-driven work, we studied the magnetic phase diagram of the model of the topological insulator MnBi2Te4 using the classical Monte Carlo simulations. Due to the competing interactions, the phase diagram of MnBi2Te4 showed the proximity to various magnetic phases, including a prediction of a skyrmion-like phase.


Real-space spin snapshots of (from left to right): vertical spiral, multi-q (skyrmion) crystal and up-up-down-down order. Color shows Sz, while arrows show the in-plane spin components.

Bing Li, J.-Q. Yan, D. M. Pajerowski, E. Gordon, AMN, Y. Sizyuk, L. Ke, P. P. Orth, D. Vaknin, and R. J. McQueeney, Competing magnetic interactions in the antiferromagnetic topological insulator MnBi2Te4, Phys. Rev. Lett. 124, 167204 (2020).